
- 赖红昌教授
- 上海九院口腔种植科主任
- 口腔种植支持固定修复
- 口腔种植支持活动修复等
上海九院种植牙口腔颅颌面种植科主任,教授、主任医师、博士生导师。现任中华口腔医学会口腔种植专业委员会主任委员,国际口腔种植协会专家委员会委员...[详细]
研究成果
4591例Straumann种植体在私人诊所应用的10年随访:一项回顾性队列研究
更新时间:2019-06-27 14:02
4591例Straumann种植体在私人诊所应用的10年随访 :一项回顾性队列研究
第一部分 :多因素生存分析
Retrospective cohort study of 4591 Straumann implants in private practice setting, with up to 10-year follow-up.
Part 1: multivariate survival analysis
徐逢源 翻译;王刃 审校
关键字 : 骨种植体相互作用,骨再生,临床研究,对列研究,组内相关性,患者中心结果,上颌窦提升,吸烟,生存分析,种植体失败时间
摘要
目的 : 本研究为回顾性非介入性开放性队列研究,旨在评估种植治疗在私人诊所应用的远期留存率,并分析种植失败的影响因素。
材料与方法 : 1999年至2012期间, 2060位患者植入总计4591颗Straumann种植体。于植入后第2~3个月、1、3、5、7年,部分病例10年,对患者进行随访评估。生命表法计算累积留存率(cumulative survival rate, CSR)以Kaplan–Meier生存曲线表示。运用单因素分析探讨种植失败时间的相关影响因素,将P<0.15的因素进一步纳入多因素分析中。统计学分析也考虑了植入多颗的种植体的同一患者口内种植体之间存在相关性。
结 果 : 在 种 植 体 水 平, 3、5、7年 的 累 积 留 存 率 分 别 为99.3%、99.0%和98.4%,患者水平3、5、7年的累积留存率分别为98.6%、97.7%和95.9%。调整了可能的混杂因素后,纳入多因素分析的影响因素指标包括种植体植入位置、种植体长度和设计、种植时机、植骨术及性别。软组织水平种植体(n=3863)3年留存率高达99%,并且在整个研究中维持于高水平。骨水平种植体(n=600)3年留存率亦达99%。锥形种植体(Tapered Effect)(n=128)5年留存率相对较低为95%。下颌后牙区位点的6 mm短种植体留存率高达100%,但其在上颌后牙区留存率仅87%。患者因素中,吸烟、自身免疫性疾病及青霉素过敏的种植失败风险高。
结论 : 本大样本长期研究表明Straumann种植体的远期留存率高。软组织水平和骨水平种植体留存率高于锥形(Tapered Effect)种植体。短种植体在下颌后牙区临床疗效好,但其在上颌后牙区的效果略差。本研究结果揭示了大样本量种植体应用于私人诊所的远期临床效果。
种植修复作为上下颌部分或全牙列缺失的修复方式已被广泛接受。种植成功的本质在于某些牙科材料,如钛,具备与骨表面直接接触形成骨结合的能力(Branemark 1983)。为进一步促进种植体的骨结合,对种植体的改进包括种植体的表面处理从而改变其表面形态和化学性能(Buser 2001; Buser et al.2004)。种植体的设计(例如形态和尺寸)、手术操作、种植体植入时机、负载时机都会影响种植体的留存率(Renouard & Nisand 2006; Ganeles et al. 2008; Penarrocha-Diago et al.2012; Jung et al. 2013)。尽管存在以上影响因素,文献报道的口腔种植留存率尤其是5年留存率相当高,通常>90%。
而远期的留存率数据可以更好地评估口腔种植体的安全性和可行性。一些研究报道了种植体的远期留存结果(Buser et al. 1997; Karoussis et al. 2003; Simonis et al. 2010),结果显示实心螺纹种植体比空心柱状种植体留存率更高,下颌位点相对高于上颌位点,牙周病病史的患者种植体留存率相对较低(Levin et al. 2011)。亦有研究报道种植同期行引导骨再生术(GBR)的远期结果(Jung et al. 2013)以及上颌后牙牙槽骨萎缩区域种植的临床结果(Corbella et al. 2013)。因此,诊所常用的各类种植体的相关数据越多,便越能更好的评价口腔种植治疗的可靠性和可预期性。
本回顾性非干预性开放队列研究旨在评估1999至2012年期间在私人诊所完成的4591例Straumann®种植体的累积留存率,平均每位患者植入2.23颗种植体,最长的随访时间为10年。此外,本研究亦评估种植失败的相关因素。我们评估了大量种植体留存率的影响因素,包括种植体植入位置、种植体类型和尺寸、植入扭矩、种植时机、是否植骨 ;患者因素包括吸烟、牙周病史、双膦酸盐用药。进一步对此队列的研究计划将关注软组织炎症、骨吸收及种植体的生物和机械并发症。
材料及方法
研究设计
本回顾性研究纳入了2060位患者,总计4591颗种植体。研究队列包括922位男性(44.8%)和1138位女性(55.2%),手术时的平均年龄50.58±12.96岁,年龄范围[15, 85]。所有种植体的植入术为1999至2012年间在加拿大亚伯达卡尔加里地区由同一位牙周病医师(DF)完成。卡尔加里地区的数位全科牙医和专科牙医完成之后的修复工作。所有测量工作由术者 (DF)完成。
队列纳入标准为部分牙列缺损或全口牙列缺失,唯一的排除标准为ASA分级大于等于第三级(Owenset al. 1978)。在符合适应证的前提下,种植体植入术遵循操作指南。根据患者情况确定种植部位,种植术不挑选任何特定的种植部位。术前谈话并取得患者的知情同意。本研究是一项正在进行的评估种植治疗长期效果的项目的一部分,此项目与英属哥伦比亚大学合作。本研究获得英属哥伦比亚大学(温哥华,加拿大)临床研究伦理委员会的批准。数据分析过程中均隐去患者姓名。
术式包括于完全愈合的牙槽骨行种植术(合并或不合并植骨)和即刻种植。除即刻种植外,所有种植术中均翻瓣。在牙槽嵴萎缩需植骨的位点,于种植同期行GBR,植骨盖膜, GBR采用自体骨,异种小牛骨颗粒及ePTFE或胶原膜。上颌窦提升术分为两组。一组行上颌窦侧壁开窗术,植骨应用20% 自体骨和80%牛异种骨的混合物覆盖缓慢降解的胶原膜。另一组行经牙槽嵴顶上颌窦内提升术不植骨。种植体负载方案根据患者情况不同分为三类 :即刻负载(种植体植入后48小时内),传统负载(种植体植入后2~3个月)和延期负载(种植体植入后6个月 ;骨密度极低或初期稳定性低的情况)。相邻的种植体常规行联冠修复, 6 mm种植体与相邻种植体行联冠修复。
选取种植体植入术后2-3个月评估种植体稳定性,检查方法为35 Ncm扭矩试验和影像学检查,该影像学检查作为之后随访评估的基线。随访间隔设定为1、3、和5年。 5年随访期后,除需要其他部位种植手术或因可疑问题由转诊医师转介的情况外,随访时间不做严格规定。本研究随访期最长为10年。
研究变量
记录种植体植入术、种植体修复以及最后随访的时间,若种植体失败,记录种植体脱落日期。本研究的主要结果参数为种植体失败。种植体失败被定义为任何原因的种植体取出。早期失败定义为种植体负载前发生,负载后的失败则定义为晚期失败。种植体的留存时间为种植体植入至种植体脱落或最后的随访时间(存留的种植体)。其余的参数包括探诊出血指数及边缘骨吸收均在随访时记录并将在未来的文章中报道。
本研究包括了大量的解释变量,分为以下几类 :种植体相关因素,手术相关因素及患者相关因素。表1列出了这些变量的描述性统计,表2类列出了健康状况变量的描述性统计。
本研究应用了Straumann种植体(Institut Straumann AG, Basel, Switzerland)的4个主要类型(表1)。大多数种植体为SLA表面,少部分为亲水SLActive表面(0.6% ;30/4591)。种植体直径和长度分布情况见表1。


数据管理和统计学分析
对于种植研究,患者之间被认为彼此独立,但同一患者口腔内的多个种植体之间存在一定的相关性,可通过组内相关系数测量(Intraclass Correlation Coeffcient, ICC)。若忽略此关联性会导致统计结果偏倚。为了解决组内相关系数的问题,我们进行两个水平的分析,即2060位患者以及4591颗种植体。两个水平的主要结果变量均是种植失败。在患者水平,将失败定义为至少一颗种植体脱落。为了描述生存数据,应用生命表法计算累积留存率(cumulative survival rate, CSR)并用Kaplan–Meier生存曲线阐明结果。用风险比[HR]评估解释变量与种植体失败时间之间的相关性。各变量的风险比(HR)被定义为每两组之间种植失败风险的比值。风险比等于1表示组间风险相同, HR<1和>1分别表示有益和有害的影响。 HR的计算利用比例风险Cox回归模型。通过计算回归模型的三明治型稳健标准误(sandwich-type robust standard errors)解释ICC组内相关系数(即患者植入多颗种植体的结果),此方法应用于口腔学研究参见Chuang et al.(2002)。选择进入最终模型的变量步骤如下 :完成单因素分析后(逐一分析解释变量),所有P<0.15的变量被纳入多因素分析。多因素模型校准混杂因素后估算HR值。例如,若多因素模型将种植体类型选为解释因素,将种植位置选为混杂因素,模型将评估种植体类型对种植失败的净影响,排除了种植体位置的影响。
最后,使用Cox模型进行生存分析的前提是需符合等比例风险(proportional hazard, PH)假设,该假设认为HR在研究期间不随时间改变。本研究中使用Grambsch–Therneau test检验等比例风险假设,若违背该假设,我们则纳入一时变协变量(time-varient covariant)。种植研究中此方法的应用参见Levin et al.(2011)。数据分析软件为SPSS (IBM Corp, Version 19.0, Armonk,NY, USA)和 R 2.15(R Foundation for Statistical Computing, Vienna, Austria)。 R中,我们使用生存库分析【 {Survival} library】。显著性水平设定为0.05。
结果
种植体和研究队列
研 究 队 列 由922位 男 性(44.8%)和1138位 女 性(55.2%)构成,男女的年龄和随访时间无显著性差异。年龄呈双峰分布,峰值分别为50岁和19~20岁(即先天缺牙治疗起始年龄)。随访期最长达11年(133个月),平均32.2个月,男性和女性的年龄和随访时间无显著性差异。
2060位患者总计4591颗种植体,平均每位患者植入2.23颗种植体,标准差1.68。大多数患者植入了1颗种植体(n=911), 572位患者植入了2颗种植体, 238位患者植入了3颗种植体, 339位患者植入了≥4颗种植体。同一患者植入的种植体数目最多为14颗。
种植体(与类型,尺寸无关)分布如下 :上颌前牙区n=625(13.7%),上颌后牙区n=1717(37.4%),下颌前牙区n=291(6.3%),下颌后牙区n=1958(42.6%)。本实验中按Buser et al. (1997)定义分区,上颌前牙区选取FDI牙位13~23,下颌前牙区选取34~44。种植体长度和直径的分布见图1。总体来说,在狭窄区域(如切牙区),选用窄长的种植体 ;在后牙区(如磨牙位点)选用宽短种植体。直径3.3mm的窄种植体的最长长度为12mm。随着种植体直径加大,更多选用更短的种植体(6mm,8mm或10mm)。

图1. 种植体长度和直径分布(n=4591)
种植体水平和患者水平的描述性生存分析
本研究共计32例种植失败(0.7%) : 22例失败发生于负载前(0.5%), 10例失败发生于负载后(0.2%)。在患者水平, 22位患者(1.1%)失败发生于负载前, 9位患者(0.4%)发生于负载后。上述31位患者中仅一位患者发生2颗种植体失败,其余患者1颗种植体失败。

根据生命表分析(表3),发生种植体水平3、5、7年累积留存率(CSR)分 别 为99.3%、99.0%、98.4%。患者水平3、5、7年累积留存率(CSR) 分别为98.6%、97.7%、95.9%。 患 者 水 平 和 种 植 体 水 平 的Kaplan–Meier生存曲线请参见图2。

图2. Kaplan Meier生存曲线(a)种植体水平, n=4591以及(b)患者水平, n=2060
种植失败风险指标的单因素分析
表4为种植失败的单因素分析结果。 P<0.15的变量被纳入之后的多因素分析。种植体水平被纳入的因素为 :种植位置、种植体长度、设计、即刻种植、GBR、植骨。趋势发现植入扭矩往往被认为与种植失败相关(HR=0.96, P=0.07),即扭矩越大,种植体失败风险越低。但是,植入扭矩并未被纳入多因素分析,原因为植入扭矩的测定从2006年以后才开始,纳入植入扭矩将降低多因素分析的检验效能。患者水平被纳入的因素为:性别、自身免疫性疾病、吸烟、青霉素过敏。患者植入的种植体数目与种植失败呈显著相关,即植入数量多于1颗的患者相比植入1颗种植体的患者种植失败的风险更高(HR=3.12, P=0.002)。

种植失败风险指标的多因素分析

表5列出了被纳入多变量PH Cox回归模型的变量的HR值。校正混杂因素后,种植失败时间与种植位置、种植体长度和设计、种植时机、种植同期行GBR术、性别(临界值)有关。由于超过7年的样本量不足以确保风险指标的统计效力,因此选择7年作为远期比较的时间节点。
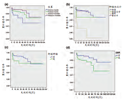
植入位置
上颌前牙区种植体7年CSR为97%,上颌后牙区、下颌前牙区、下颌后牙区的CSR分别为98%、100%、99%(图3a)。结果发现上颌后牙区(HR=0.26)和下颌后牙区(HR=0.31)相比上颌前牙区的种植体失败风险更低。
种植体长度
长度为6 mm、8 mm、≥10 mm的种植体7年CSR分别为96%、98%、99%。 6 mm种植体的HR=7.92(表3),提示6 mm种植体的失败风险是其他所有长度种植体的7.92倍。我们模型中6 mm种植体留存率与植入位置呈显著相关。 6 mm种植体7年留存率为96%(图4a),若进一步将此结果按种植位置分层分析,下颌后牙区6 mm种植体7年留存率为99%(图4b),上颌后牙区的留存率则低至87%(图4c)。
种植体设计
软组织水平种植体(n=3863)的3年CSR为99%并在整个研究期间维持此水平(图3b)。骨水平种植体(n=600)3年CSR也达到了99%。因此标准、标准美学及骨水平种植体的失败时间之间无显著性差异。相较之下,锥形种植体(Tapered Effect)(n=128)5年CSR 95%相对较低。与标准软组织水平种植体相比,锥形种植体失败风险更高(HR=3.71)。
即刻种植
即刻种植(n=521)的风险比为3.24。即刻种植的种植体按设计包括115例骨水平种植体, 95例锥形种植体,以及312例软组织水平种植体。即刻临时修复在非即刻种植应用少[2.3%],但在即刻种植组占25.1%(n=131)。5例上颌前牙区的即刻种植因感染失败,其中有3例对青霉素过敏。即刻种植与时间相关性显著,即在早期阶段比传统或延期种植在留存率更具优势,但这种优势随时间而消失,各种植时机组别的远期CSR最终相同(图3c)。
GBR
种植体植入术同期行引导骨再生术是种植失败的一项显著的风险指标(HR=3.42)(图3d)。
性别女性7年CSR为97%,男性为94%。男性的失败风险比女性高2.22倍(表3)。但是P值为临界值的0.05,因此对此比较结果需谨慎对待。

图3. Kaplan Meier生存曲线(a)种植体位置(b)种植体设计(c)即刻种植(d)种植同期行GBR

图4. 种植体长度的Kaplan Meier生存曲线(a)总生存情况(b)下颌后牙区(c)上颌后牙区

图4. 种植体长度的Kaplan Meier生存曲线(a)总生存情况(b)下颌后牙区(c)上颌后牙区
讨论
生存分析
本回顾性研究的开放队列(即2060位患者4591颗种植体)的种植体水平的累积留存率CSR较高,在3、5、7年的时间节点分别为99%、99%、98%。患者水平的累积留存率CSR也较高,在3、5、7年的时间节点分别为99%、98%、96%。在另一项关于Straumann种植体远期留存率的研究中(Nixon et al. 2009),5和10年种植体留存率分别为99.4%和98.3%,与本研究的CSR值处于同等水平。但是,本研究的CSR值高于很多其他研究。
例如一项对24篇文献进行meta分析的系统性回顾报道了5和10年种植体留存率分别为97.2%和95.2%(Jung et al. 2012)。
并且,本研究的结果也优于其他种植系统,如最近一篇文献报道多孔氧化涂层钛种植体1~2年的累积留存率为93%(Becker et al. 2013),另有一篇文献报道大螺距双螺旋螺纹的锥形种植体1年留存率仅为87%(Ho et al. 2013)。本研究种植体水平99%的高留存率与另一篇文献结果形成鲜明对比,该研究中应用不翻瓣导板外科技术的1、3年CSR分别为90%和83%(Landazuri-Del Barrio et al. 2013)。另一篇应用导板外科技术的3年留存率仅为83.5% (Lal et al. 2013)。此外,一些非注册商标的种植体只有极少的甚至从未有临床报道,因此更有必要明确高的种植体留存率仅适用于经过了彻底的实验确认的种植体材料、设计、表面和手术方法。本研究的留存率高于其他代表性研究的留存率可能是因为所有植体均由同一名经验丰富的医生操作。此外,根据已报道的文献,本研究即刻种植前行青霉素过敏试验,若青霉素过敏,选择延期种植。
本研究中, 4591颗种植体中仅有32颗失败种植体。值得注意的是在观察到的失败病例中,大多数失败发生在永久修复之前(22/32)。种植体单冠的第7年留存率为100%(患者水平),此结果明显优于先前对比传统三单位烤瓷桥和种植体单冠的文献结果(Pjetursson et al.2007),提示种植修复可替代三单位烤瓷桥。另外,本研究80%种植体植于后牙区,证实Straumann种植体修复单颗磨牙缺失能获得高留存率(Levine et al. 2007)。
多颗种植体
出乎意料的是虽然植入多颗种植体将增加种植失败的风险,但本研究中31例失败患者中仅有一位患者发生多于1颗种植体失败。早前的研究发现同一患者第2颗种植体脱落的几率比第1颗脱落的风险大1.3倍(Weyant & Burt 1993),该结果与本研究结果不同。另一篇研究中, 3609颗种植体8年留存率为97.3%,该研究也认为种植失败有聚集倾向,超过一半的脱落失败种植体集中于三分之一患者(Schwartz-Arad et al.2008)。本研究大多数患者仅植入1颗种植体,因此未观察到种植的失败聚集情况。 31位种植失败的患者中,30位植入多颗种植体,因此理论上这些病例可能会有多颗种植体失败。单个患者的种植体数目越多,种植失败聚集发生的可能性越大,尤其是全口种植的患者。
本研究中仅有10%(n=204)的患者植入了≥5颗种植体。另一种可能的解释是本研究中只有5名患者(0.2%)患广泛性侵袭性牙周病,这类患者已被证实比慢性牙周病患者的种植失败风险更高。本研究广泛性侵袭性牙周病的低患病率或能解释未发现失败聚集的原因(Mengel et al. 2001)。
种植体因素 :位置,长度,设计
种植位置
本研究不选择特异的种植位点,具体种植部位由患者情况确定。有趣的是,种植体的位点基本均衡分布,上颌2342 [51%],下颌2249 [49%]。
上颌前牙区失败风险显著高于其他区域,即使控制了混杂因素(如该区常见的GBR和/或即刻种植),仍然存在较高的失败风险。上前牙区临时美学修复是增加该区负载前种植体失败的重要原因,本研究中出现3例前牙区的早期失败, 极有可能是临时修复体干扰了种植体的骨愈合。此外如上文, 5例前牙区的失败因即刻种植发生感染。
种植体长度
种植体长度方面, 8 mm种植体与10 mm种植体留存率无差异,但6 mm种植体留存率相对较低,但因总体失败例数低,该差异未达到统计学意义。 308颗短种植体(6 mm)按种植部位进一步行分层分析发现下颌后牙区5年留存率100%,上颌后牙区5年留存率87%。之前并无如本研究的大样本量、长期研究报道短种植体尤其在下颌后牙区的留存率。本研究的结果或能进一步支持短种植体联冠修复代替植骨,下颌后牙区短种植体的留存率高于植骨组。
本研究6 mm种植体在上颌后牙区相对较高的失败率值得进一步分析, 54.8%的上颌后牙种植涉及骨高度不足需行上颌窦内提升术。上颌后牙区牙槽骨高度仅为2~5 mm时,选用多颗6 mm短种植体联冠修复代替上颌窦外提升术,此情况短种植体由于临时修复发生早期失败的风险更高。上颌窦侧壁开窗外提升术存在一定比例的并发症如感染、窦底粘膜撕裂(平均19%)(Pjetursson et al. 2008)以及移植物吸收。一篇系统性回顾综合分析了29篇文献总计2707例上颌窦侧壁开窗提升术植入6940颗种植体,种植体的留存率介于75.57%至100%之间(Corbella et al.2013)。在一篇综述报道的上颌窦侧壁开窗术留存率的范围为61.7%至100%,平均值91.8%(Wallace & Froum 2003)。此外,一项前瞻性研究报道上颌窦开窗并植骨的种植体累积留存率为86.1% (Barone et al. 2011)。因此,本研究中上颌窦区域应用内提升的留存率(87%)在可接受且可预期的范围,且与外提升相比在时间和花费方面具有优势。
种植体设计
Straumann标准和标准美学软组织水平种植体3年留存率高达99%,并在整个研究中始终维持高水平。该结果表明软组织水平种植体相当可靠,这或许可归因于平行壁设计以及光滑的颈部设计,其颈部界面远高于骨面的设计减少了潜在的生物学并发症和骨改建。但是若需复杂的骨移植术或即刻种植时,相较于软组织水平种植体,骨水平和锥形种植体应用更多。
骨水平种植体3年留存率亦同为99%,亦有可信赖的效果。骨水平种植体具平台转移设计,于2008年开始应用。本研究为骨水平种植体研究中样本量最大的长期研究之一,本研究的结果能为其他研究提供支持。例如在一项多中心研究中, 538位患者的908颗种植体的1年累积留存率为98.5% (Filippi et al. 2013)。
本研究锥形种植体留存率为95%,略低于另一篇研究的结果,即同类种植体的2~5年留存率97.7% (Wilson et al. 2013)。此差异的原因可能是本研究大多将锥形种植体74%(n=95)用于即刻种植这一更为复杂且难度更高的情况。但是,即使将潜在的混杂因素如种植时机和位置考虑在内,此类型种植体失败的风险仍较高。有文献报道锥形种植体的应用存在学习曲线效应,其对牙槽骨的压迫效应或是造成高失败率的原因(Menicucci et al. 2012; Ho et al. 2013),即种植体设计或是其高失败率的原因。因为骨水平种植体在前牙区修复时灵活度更高,自引入骨水平种植体后停用锥形种植体,因此锥形种植体仅在2002至2005年间应用。
手术因素 :时机, GBR
植入时机
即刻种植对种植体的留存率的影响较小,根据Kaplan–Meier分析结果即刻种植仅对术后早期种植体留存率有明显影响。本研究长达10年的长期结果亦有力证实了另一篇囊括46篇1年以上随访期的前瞻性研究的系统性回顾的结果,即刻种植的留存率为98.4%(Lang et al. 2012)。该系统性回顾发现仅抗生素的选择会影响种植体留存率,下面将在本文中讨论青霉素过敏对留存率的影响。
GBR术
虽然本研究中行GBR的种植体留存率较低,但仍高于另一篇系统性回顾的报道,侧壁骨缺损行GBR的留存率为95.7% (Chiapasco & Zaniboni 2009)。本研究GBR种植病例未发生膜暴露,因此本研究未表明膜暴露是种植失败的原因。
患者因素
单因素分析结果表明增高失败风险的患者因素包括男性、吸烟、自身免疫性疾病和青霉素过敏。
本研究男女基本平均分布(男性45%,女性55%),因此可比较性别对留存率的影响。单因素分析中男性被认为是增加失败率的显著指标,但此结果是受到混杂因素的影响,多因素分析时性别比较的显著性处于临界值。高失败风险或与男性患者咬合力大相关 ;但是同时男性的早期失败风险仍然较大,这或许是因为男性患者在愈合期临时义齿负荷较大。
单因素分析表明重度吸烟对种植体留存率存在潜在的不利影响(HR=4.83, P=0.07),但在多因素分析中未达到统计学意义。曾有回顾性研究报道吸烟对粗糙表面种植体留存率几乎无影响(Alsaadi et al.2008;Balshe et al. 2008),而本研究的种植体均为SLA表面。但是,本研究中重度吸烟者样本量小(<2%)限制了检验效能。本研究将每日吸烟>15支/天定义为重度吸烟者,中轻度吸烟者不予记录,并且吸烟量可能存在报告偏倚。参与本研究的对象来自于社会经济高层次的地区, 2%的重度吸烟比例符合预期(Reid et al. 2010)。
本研究中牙周病史对种植体的留存率无显著影响,这一结果出乎意料与其他研究结果不同。一项研究Straumann空心柱状TPS表面种植体的10年研究发现修复因牙周病缺牙的种植体留存率为90.5%,低于常规组留存率96.5%(Karoussis et al. 2003)。导致不同研究结果的原因可能是种植体设计不同,因为文献已证实空心柱状种植体留存率较低,且SLA较TPS表面更为粗糙(Levine et al. 2007)。本研究中我们于种植术前已对进展期牙周炎患者进行治疗,之后所有中重度牙周病患者都定期复诊进行牙周维护治疗。有文献表明牙周治疗的依从性影响种植体留存率(Roccuzzo et al.2013)。如前述,本研究广泛性侵袭性牙周炎的患病率极低(0.2%)。此外,由于种植体周围炎的骨丧失是慢性的过程,考虑到我们平均随访期为32.2个月,且种植失败总数较低,本研究或不能反映牙周病的长期风险。同一队列中牙周病是否是种植体周围进展性骨丧失的风险因素将在后续文献报道。
长期服用类固醇药物和患有自身免疫疾病的患者被合并分析,种植失败的风险增加的概率为临界值(HR=9.05, P=0.07)。现已知类固醇药物可能导致免疫抑制和骨质疏松,不利于骨结合早期骨愈合过程(Parrillo & Fauci 1979; Waters et al. 2000)。类风湿病患者失牙率和牙周患病率较高,提示自身免疫病患者的愈合功能受损,抗感染能力降低(Pischon et al. 2008)。有文献表明类固醇药物能协同双膦酸盐引起骨坏死的作用影响骨愈合,进一步提示类固醇药物是种植体的风险因素之一(Sonis et al. 2009)。
本研究中双膦酸盐疗法不影响种植体留存率,此结果与另一篇综述一致,该综述研究纳入了1篇前瞻性、3篇回顾性病例研究,总计217位患者,结果显示种植治疗对这些患者是安全的。但是,本研究未详细记录患者双膦酸盐用药史的时间和计量,上述综述中大多数研究数据都来自服药史≤4年的患者(Madrid &Sanz 2009)。
青霉素过敏影响种植留存率主要是其影响术前常规抗生素,以及骨移植、上颌窦提升、即刻种植术的后抗生素。最近一系统性回顾共纳入927位患者比较阿莫西林和安慰剂的疗效,结果为术前1h口服2 g阿莫西林降低种植失败的几率(Esposito et al. 2010)。未使用阿莫西林的病例,使用克林霉素替代。我们的研究结果表明选用克林霉素作为抗生素治疗可增高失败率。青霉素过敏患者的HR=2.16,即失败风险翻倍,但是失败总数低,未达到统计学显著性(P=0.11)。其他研究也有报道青霉素过敏患者的失败风险,一项回顾性研究结果发现总共1925颗种植体中,术后未用阿莫西林的患者失败率提高至3倍(Wagenberg & Froum 2006)。
尽管青霉素过敏、自身免疫性疾病、严重吸烟似乎是种植失败的重大风险指标,我们仍然需注意检验效能。 本研究几乎无排除标准(即纳入所有待种植的患者),但是种植失败率低、各因素发生率低(如严重吸烟,牙周病等),造成本研究的检验效能低,限制了检验出组间差异的概率。进一步的研究将会针对本队列种植体周围骨丧失、炎症和感染,此类情况发生率高或更有效的评估这些变量的影响。
前文已述,本研究的主要局限性在于种植失败病例数少,致使种植失败风险指标的检验效能降低,尤其在牙周病、吸烟、种植失败聚集倾向几个方面结果与不同于其他研究。此外,本研究所有种植病例均由同一位医师完成,其结果不能直接外推至其它中心。并且,患者随访间隔定为3个月、1年、3年、5年,不同患者的随访频率不同,且随访间隔随时间推移而加大 。随访时间越长,参与随访的比率越低,5年后随访的患者明显减少。且5年之后来随访的患者中有问题的病例所占比率较大,如多种植体的复杂病例、有潜在种植并发症或另有牙缺失。
结论
本回顾性队列研究对2060位患者共4591例种植体行生存分析,最长随访期达10年。种植体水平第3、5、7年的累积留存率分别为99%、99%、98%。患者水平第3、5、7年的累积留存率分别为99%、98%、96%。Straumann软组织水平种植体第三年留存率高达99%,并9年保持在较高水平。骨水平种植体第三年留存率亦高达99% 。锥形种植体留存率相对较低, 5年留存率为95%。种植体单冠的7年留存率高达100%。相反,尽管本研究中并未出现种植失败的聚集倾向,多颗种植体的患者失败率也相应较高。下颌后牙区6 mm短种植体留存率高达100%,相反上颌后牙区短种植体留存率仅87%。患者因素,包括男性、吸烟、自身免疫性疾病、青霉素过敏,有增高失败率的倾向。总的来说,私人诊所中应用Straumann种植体可达到相当高的长期留存率。本研究报道了私人诊所进行大样本种植长期效果的研究结果。针对本队列的进一步研究将关注软组织炎症、骨吸收以及生物机械并发症的风险指标。
致谢 :本研究的财政资助仅来自Institut Straumann AG, Basel, Switzerland ,用于在以色列特拉维夫大学统计和运筹部进行数据分析。此外作者感谢Dr. Michelle Brown在文章写作中给予的帮助。
文献导读(庄龙飞) :目前,大量文献已报道了种植修复的留存率以及成功率很高,但是同时需要注意的是,大多数文献报道的研究在大学医院进行,有严格的纳入标准设定,因此很难直接将这些结果扩展到无法进行严格控制纳入标准的日常临床工作中,那么在此情况下尤其在私人执业诊所中种植修复的长期应用效果究竟如何?这是临床医师最关心的问题。本文在私人诊所无特殊纳入标准的前提下,对大样本Straumann种植体进行了最长达10年的随访研究,得到的结论具有可推广的意义。并且本文从患者因素、种植体因素等方面讨论对种植治疗疗效的影响和种植体失败规律,对临床工作有很重要的指导意义。



